Español
English
Departamento de Anatomía, Histología y Neurociencia
MENU
Toggle navigation
Home
About us
News
Research
Phd Program
Master's
Undergraduate
Applied anatomy
Body Donation
/
Laboratorio de Anatomía Aplicada: Curso de Cirugía del Oído Medio y Disección del Hueso Temporal
Laboratorio de Anatomía Aplicada: Curso de Cirugía del Implante Coclear
Laboratorio de Anatomía Aplicada: Curso Internacional de Ecografía de la Mano y Muñeca
Seminario de Investigación: "Synaptic organization of the normal and pathological altered human temporal lobe neocortex.” Joachim Lübke, Julich Research Center - Universidad de Aquisgrán (Alemania)
Investigadores del Departamento participan en una conferencia internacional sobre “Thalamocortical interactions" en Lucca (Italia)
Laboratorio de Anatomía Aplicada: Curso de Resección y Reconstrucción Compleja de la Pared Torácica
Previous
Next
Research
PhD in Neuroscience
Master in Neuroscience
Undergraduate Studies
Applied Anatomy lab
Chair UAM- Foundation Tatiana PGB
Body donation
Contact information / Location (how to get?)
Upcoming events
Previous
Next
Latest Publications
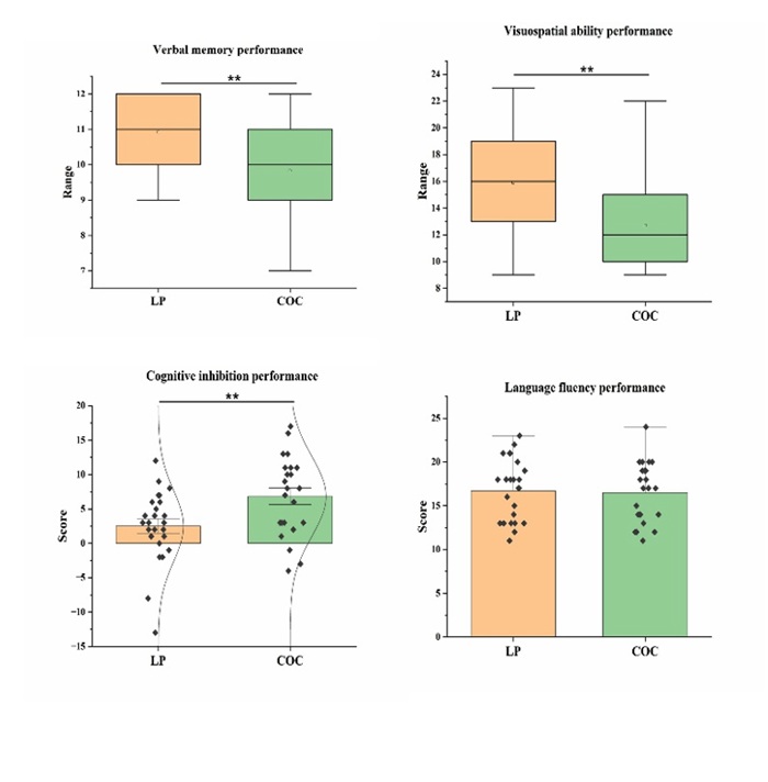
Laguna et al. Differences in Verbal Memory, Visuospatial Ability, and Cognitive Inhibition Among Young Women Using Drospirenone and Ethinyl Estradiol Oral Contraceptives Versus Naturally Cycling Controls. Acta Neuropsychiatrica (2026)
Cwetsch et al. (2026) Bidirectional interaction between protocadherin 8 and the transcription factor Dbx1 regulates cerebral cortex development. Development.
Pathway-specific ultrastructure of thalamocortical synapses in mouse somatosensory area S2. Martin-Correa et al. Journal of Neuroscience (2025).
Ammar et al. Exposure to low-dose CuO nanoparticles improves fear extinction memory and enhance intrinsic excitability in the infralimbic cortex of male mice, Life Sciences 2025
Mesa-Lombardo y cols. Impaired modulation of the trigeminal caudal nucleus by the locus coeruleus in diabetic mice: the role of GABAergic and glycinergic neurons. Frontiers in Neuroanatomy, 2025
Carrera-Cañas et al. Hypocretin/orexin peptide release occurs mostly extrasynaptically, is self-controlled, and specifically enhanced in female rats. Experimental Neurology 2025.
Córdoba-Claros et al. Projection motifs and wiring logic of medial pulvinar thalamocortical axons in the marmoset monkey. The Journal of Neuroscience (2025)
Hyperphosphorylated tau in Alzheimer's disease disseminates along pathways predicted by the Structural Model for Cortico-cortical Connections. Uceda-Heras et al., J Comp Neurol. 2024.
Brain state identification and neuromodulation to promote recovery of consciousness. Vand de Lande et al. Brain Communications (2024)
Tibolone treatment after traumatic brain injury exerts a sex-specific and Y chromosome-dependent regulation of methylation and demethylation enzymes and estrogen receptors in the cerebral cortex. Pinto-Benito et al., Biochim Biophys Acta Mol Basis Dis. 2024.
Differential response of injured and healthy retinas to syngeneic and allogeneic transplantation of a clonal cell line of immortalized olfactory ensheathing glia: a double-edged sword. Norte-Muñoz M Neural Regen Res (2024)
Beyond barrels: diverse thalamocortical projection motifs in the mouse ventral posterior complex. Rubio-Teves M et al., The Journal of Neuroscience (2024)
Generation of functional neurons from adult human mucosal olfactory ensheathing glia by direct lineage conversion. Portela-Lomba y cols. Cell Death & Disease (2024)
Neonatal inhibition of androgen activity alters the programming of body weight and orexinergic peptides differentially in male and female rats. Carrillo et al., Brain Research Bulletin, 2024
Micropopulation mapping of the mouse parafascicular nucleus connections reveals diverse input–output motifs. Gonzalo-Martin y cols. Frontiers in Neuroanatomy (2024)
Ruiz-Gabare y cols. Intron retention as a productive mechanism in human MAPT: RNA species generated by retention of intron 3. eBioMedicine. 2024
Waxholm Space atlas of the rat brain: a 3D atlas supporting data analysis and integration. Kleven et al. Nature Methods. 2023
Relationship of PIEZO1 and PIEZO2 vascular expression with diabetic neuropathy. Frontiers in Physiology 2023
Analyzing Thalamocortical Tract-Tracing Experiments in a Common Reference Space. Neuroinformatics (2023)
The arousal-related "central thalamus" stimulation site simultaneously innervates multiple high-level frontal and parietal areas. Morais y cols. Journal of Neuroscience (2023).
High-resolution tractography protocol to investigate the pathways between human mediodorsal thalamic nucleus and prefrontal cortex, Liu y cols., The Journal of Neuroscience (2023)
Cerebellar and basal ganglia inputs define three main nuclei in the mouse ventral motor thalamus. Alonso-Martinez et al. Frontiers in Neuroanatomy (2023)
Santos-Toscano R, et al. (2023) Interaction of gonadal hormones, dopaminergic system, and epigenetic regulation in the generation of sex differences in substance use disorders: A systematic review. Frontiers in Neuroendocrinology 71:101085.
Ganchala, et al., Kif21B mediates the effect of estradiol on the morphological plasticity of mouse hippocampal neurons. Frontiers in Molecular Neuroscience 2023, 16:1143024.
The neurobiology of insulin-like growth factor I: From neuroprotection to modulation of brain states. Molecular Psychiatry. Núñez y cols., Molecular Psychiatry (2023)
Locus coeruleus inhibition of vibrissal responses in the trigeminal subnucleus caudalis are reduced in a diabetic mouse model. Mesa-Lombardo y cols., Frontiers in Cellular Neuroscience (2023).
Ganchala et al. Kif21B mediates the effect of estradiol on the morphological plasticity of mouse hippocampal neurons. Front Mol Neurosci. 2023
Maroto IB y cols.(2023) Control of a hippocampal recurrent excitatory circuit by cannabinoid receptor interacting protein Gap43. Nature Communications. 14:2303. doi: 10.1038/s41467-023-38026-2.
Thalamic control of sensory processing and spindles in a biophysical somatosensory thalamoreticular circuit model of wakefulness and sleep. Iavarone y cols .Cell Rep. 2023
Small molecules fail to induce direct reprogramming of adult rat olfactory ensheathing glia to mature neurons. Portela-Lomba y cols. Frontiers in Molecular Neuroscience (2023)
Mapping the primate thalamus: historical perspective and modern approaches for defining nuclei. García-Cabezas y cols. Brain Structure and Function (2023)
Organizational Effects of Estrogens and Androgens on Estrogen and Androgen Receptor Expression in Pituitary and Adrenal Glands in Adult Male and Female Rats. Grassi y cols. Frontiers in Neuroanatomy., (2022)
The hypothalamic paraventricular nucleus as a central hub for the estrogenic modulation of neuroendocrine function and behavior. Grassy u cols., Frontiers in Neuroendocrinology 2022
Plasticity of the hypocretinergic/orexinergic system after a chronic treatment with suvorexant in rats. Carrera-Cañas y cols. (2022) Frontiers in Molecular Neuroscience
A combinatorial input landscape in the "higher-order relay" posterior thalamic nucleus. Casas-Torremocha et al., Journal of Neuroscience (2022)
Microtia Ear Reconstruction with Patient-Specific 3D Models-A Segmentation Protocol. Rodríguez-Arias JP y cols. J. Clin. Med 2022
Homology of neocortical areas in rats and primates based on cortical type analysis: An update of the Hypothesis on the Dual Origin of the Neocortex. Brain Structure and Function, García-Cabezas et al. Brain Structure & Function
Reproducible protocol to obtain and measure first-order relay human thalamic white-matter tracts. Liu y cols., Neuroimage, 2022.
Endocannabinoid and Nitric Oxide-Dependent IGF-I-Mediated Synaptic Plasticity at Mice Barrel Cortex. Noriega-Prieto y cols. Cells (2022).
Clascá, F. A Brief History of Thalamus Research. In M. Halassa (Ed.), The Thalamus; (Cambridge University Press, 2022).
Clascá, F. (2022). Thalamic Output Pathways. In M. Halassa (Ed.), The Thalamus (Cambridge University Press, 2022)
M. Perez-Rando et al. Impact of stress on inhibitory neuronal circuits, our tribute to Bruce McEwen. Neurobiology of Stress (2022)
What’s in a Gene? The Outstanding Diversity of MAPT. Ruiz Gabarre y Cols. Cells (2022)